Pathologie - Toxicologie
-
Toxicocinétique - Métabolisme [11]
La 2-butanone-oxime est absorbée par voie orale, cutanée et pulmonaire. Elle se distribue dans tous les organes sans accumulation ni site spécifique, elle est transformée entièrement dans l’organisme et éliminée dans l’air expiré, l’urine et les fèces.
Chez l'animal
Métabolisme
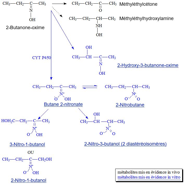
In vitro, en présence de fraction microsomiale de foie de rat, de souris ou d’homme, la 2-butanone-oxime est oxydée par le cytochrome P450 en butane-2-nitronate, lui-même oxydé en plusieurs composés nitrés (voir fig. 1) [12]. In vivo, elle serait transformée en 5 métabolites dont la méthyléthylcétone et plusieurs métabolites conjugués à l’acide glucuronique.
Schéma métabolique

Fig. 1 Transformation de la 2-butanone-oxime [11, 12]
Excrétion
La 2-butanone-oxime (rat : 2,7 ou 270 mg/kg) est excrétée :
- dans l’air exhalé sous forme de :
- CO2 dans les premières 24 heures ; cette excrétion est inversement proportionnelle à la dose orale (2,7 mg/kg, 71 % ; 270 mg/kg, 49 %), elle est moindre après exposition cutanée (2,7 mg/kg, 6,6 % ; 270 mg/kg, 14 %),
- méthyléthylcétone en fonction de la dose orale (7 à 18 %) et cutanée (35 à 56,4 %) ;
- dans l’urine, en fonction de la dose orale (13 - 26 %) ou cutanée (4,8 - 9,7 %), sous forme de méthyléthylcétone (env. 10 %) ;
- dans les fèces : moins de 2 %.
Il reste dans les tissus 6,4 à 4,1 % de la dose orale et moins de 2 % de la dose cutanée.
Toxicité expérimentaleToxicité aiguë [1, 11]
Une dépression respiratoire et du système nerveux central est possible à fortes concentrations. Il s’agit également d’un irritant et sensibilisant cutané et d’un corrosif oculaire.
L’exposition à la 2-butanone-oxime provoque une somnolence et, à fortes concentrations, narcose, coma et défaillance respiratoire [4].
Par voie orale chez le lapin, les signes cliniques présents avant le décès des animaux comprenaient une diminution de l’activité, une respiration difficile ou une diminution du poids corporel. Les autopsies ont révélé une coloration brune des poumons, un foie pâle ou un contenu rouge foncé dans la vessie [1].
Voie
Espèce
DL50/CL50
Orale
Lapin
100 mg/kg
Cutanée
Lapin
1100 mg/kg
Inhalatoire
Rat
20 mg/L/4 h
Tableau I. Toxicité aiguë de la 2-butanone-oxime [13]
Irritation, sensibilisation
La 2-butanone-oxime est irritante pour la peau et corrosive pour les yeux. C’est un sensibilisant cutané : 80 % des cobayes sont sensibilisés dans le test de maximalisation et 90 % des souris dans le test MEST (mouse ear swelling test) [4].
Toxicité subchronique, chronique [11, 14]
Une exposition prolongée, par voie orale ou inhalatoire, à la 2-butanone-oxime provoque, chez l’animal, une méthémoglobinémie et une anémie hémolytique associées à une érythropoïèse extramédullaire compensatoire.
Une exposition dans l’eau de boisson pendant 14 jours induit, chez le rat et la souris, une baisse de poids et de prise de poids aux doses ≥ 2 500 ppm. Des doses allant jusqu’à 10 000 ppm pendant 13 semaines ne sont pas létales ; elles provoquent une baisse de poids, une diminution de prise de poids et de consommation de boisson.
Les globules rouges sont la cible principale de la 2-butanone-oxime. Elle induit :
- une diminution des valeurs de l’hématocrite et du nombre d’érythrocytes ainsi qu’une augmentation du nombre de réticulocytes ;
- une méthémoglobinémie, apparaissant dès le 5e jour, partiellement réversible après 13 semaines, et une anémie à corps de Heinz, révélatrices d’une lésion oxydative de l’hémoglobine et entraînant des effets secondaires comme une anémie hémolytique avec érythropoïèse extramédullaire compensatoire (rate, foie) et hémosidérose (rate, cellules de Kupffer hépatiques, cellules épithéliales du tube contourné rénal), ainsi que des altérations de la morphologie des globules rouges.
De plus, elle provoque des modifications non liées aux atteintes des globules rouges :
- une dégénérescence de l‘épithélium olfactif nasal (rat ≥ 2 500 ppm, souris ≥ 5 000 ppm) ;
- une altération du cytoplasme des hépatocytes (augmentation de taille et éosinophilie, souris 10 000 ppm) ;
- une hyperplasie des cellules épithéliales de la vessie avec infiltration de cellules inflammatoires (souris mâle ≥ 1 250 ppm, femelle 10 000 ppm).
La NOAEL pour l’érythrotoxicité est de 312 ppm pendant 13 semaines dans l’eau de boisson chez le rat et de 2 500 ppm chez la souris. La formation de méthémoglobine (NOAEL = 1 250 ppm dans l’eau de boisson du rat) serait liée à l’hydrolyse de la 2-butanone-oxime en méthyléthylhydroxylamine, substance méthémoglobinisante ; la méthyléthylcétone ne présente pas de potentiel érythrotoxique.
Une exposition prolongée par inhalation [0 - 375 ppm, 6 h/j, 5 j/sem., 18 mois (souris) ou 26 mois (rat)] a des conséquences identiques à celles de l’exposition orale :
- méthémoglobinémie et anémie ; une tolérance ou une adaptation s’installe à partir de 18 mois pour les 2 espèces ;
- augmentation du poids du foie (rat et souris pendant 12 mois), augmentation du poids de la rate et des testicules (rats seuls) ;
- dégénérescence et réparation de l’épithélium olfactif (rat ≥ 75 ppm, souris ≥ 15 ppm), en fonction de la concentration. La NOAEL est de 3 ppm chez la souris ;
- modifications hépatiques (souris ≥ 75 ppm) : pigmentation des cellules réticulo-endothéliales, hypertrophie centrolobulaire, inflammation granulomateuse et légère augmentation des nécroses ;
- congestion de la rate avec pigmentation des cellules réticulo-endothéliales et érythropoïèse extramédullaire ; augmentation des vacuoles intra cytoplasmiques et des foyers basophiles dans le foie (rat, en fonction de la concentration).
Effets génotoxiques
La 2-butanone-oxime est faiblement mutagène in vitro.

Tableau II. Génotoxicité de la 2-butanone-oxime
Effets cancérogènes [1]
La 2-butanone-oxime est à l’origine du développement de tumeurs hépatiques chez le rat et la souris.
Le produit administré par inhalation (0, 15, 75 ou 375 ppm, 6 h/j, 5 j/sem.) à des rats (pendant 26 mois) et des souris (pendant 18 mois), mâles et femelles, provoque une augmentation du taux de carcinomes hépatiques (375 ppm) et d’adénomes (souris ≥ 15 ppm, rat ≥ 75 ppm) chez les animaux mâles uniquement.
Effets sur la reproduction [11, 17, 18]
La 2-butanone-oxime n’induit pas de toxicité sur les organes reproducteurs, la fertilité ou le développement fœtal et postnatal en présence de toxicité parentale.
Une exposition pendant 13 semaines dans l’eau de boisson ne modifie pas les comptages spermatiques ni la durée du cycle ovarien chez le rat (≤ 5000 ppm) et la souris (≤ 10 000 ppm).
Une expérience sur deux générations de rats n’a pas montré d’effets sur les organes reproducteurs ou les glandes mammaires ni de toxicité postnatale (200 mg/kg/j, 5 j/ sem., 10 sem.) en présence de toxicité parentale.
L’exposition par voie orale provoque chez le rat (0 - 60 - 200 - 600 mg/kg, gavage, du 6e au 15e jour de gestation) une toxicité maternelle objectivée par une baisse de prise de poids (≥ 200 ppm), des effets hématologiques et des modifications histologiques (rate hypertrophiée) (≥ 60 ppm) mais pas d’effet sur la reproduction. Chez le lapin (0 - 8 - 14 - 24 - 40 mg/kg, gavage, du 6e au 18e jour de gestation), la toxicité maternelle est importante : létalité et avortements (40 mg/kg), baisse de prise de poids (≥ 24 mg/kg), effets hématologiques (≥ 10 mg/kg) ; il n’y a pas d’effet sur la reproduction jusqu’à 24 mg/kg.
Une NOAEL a été établie à 600 mg/kg, par voie orale, pour le développement du rat et 14 mg/kg pour celui du lapin.
Toxicité sur l’HommePeu de données existent chez l’Homme. Des irritations oculaires et nasales ont été rapportées. On ne dispose pas de données sur de potentiels effets mutagène, cancérogène ou reprotoxique.
Toxicité aiguë
La seule donnée concernant la toxicité chez l’Homme de la 2-butanone-oxime a été signalée par un médecin du travail qui a observé plusieurs cas d’irritations oculaires et nasales, avec épistaxis chez des personnes utilisant une colle contenant de la 2-butanone-oxime. Après installation d’une ventilation adéquate des postes de travail, les symptômes ont disparu [19].
Cohérence des réponses biologiques chez l'Homme et l'animal - dans l’air exhalé sous forme de :